고체의 경우, 원자들은 결정(crystal)의 격자 내에 고정된 위치에서 작은 크기의 진동을 한다. 원자의 개수를 N 이라 하면, 3N 개의 좌표가 존재하는데 이들을 적절히 선형조합하면 3N 개의 (거의) 독립적인 단진자로 변환할 수 있다. 이 과정을 normal mode 분석이라고 한다.
여기서는 이미 normal mode 분석이 끝난 상태라고 가정하자. 계를 이루는 단진자들은 서로 독립적이므로 굳이 함께 다룰 필요가 없다. 따라서 온도 T 인 열저수지와 열접촉하고 있는 하나의 단진자를 생각하기로 하자. 이때, 나머지 3N – 1 개의 단진자가 열저수지를 형성하고 있다고 생각할 수도 있을 것이다. 이들은 모두 서로 작은 크기의 anharmonic 항을 통해 에너지를 교환한다.이 단진자의 에너지를
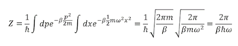
이라 하자. 모든 상태 (p, x) 에 대해서 볼츠만 인자를 더한 것이 분배함수 Z 이다. 적분으로 표현하면 체적소 dp dx 내에 존재하는 상태의 개수는 dp dx / h 이므로, 분배함수는
로 표현된다. 이때 적분 범위는 전 공간이다. 따라서,



댓글 없음:
댓글 쓰기
내용에 오류가 있거나 질문이 있으면 남겨주세요. (숙제 제외)