기체의 부피 V는 기체계의 성질이 아니라 기체계에 부과된 외부 구속 조건이다. 이를 현실로 구현하는 장치가 실린더와 피스톤이다. 이 때, 기체계의 압력 p 는 이상기체방정식으로부터 온도 T 와 부피 V 의 함수로 결정된다.
우리가 기체계를 다루기 위해서 했던 중요한 가정 중 하나가 바로 평형상태에 존재한다는 가정이었음을 기억하자. 만일 피스톤의 운동을 기체가 따라가지 못한다면, 계는 평형 상태에서 많이 벗어나게 된다. 비평형 상태에서 우리는 열역학적 변수들을 정의하지 못한다.
이제 피스톤의 운동이 충분히 느려서 기체계가 항상 평형상태에 존재한다고 가정하자. 이러한 과정을 준정적 과정(quasi-static process)라고 한다.
모든 가역적 과정(reversible process)은 준정적 과정이다. 그러나 이 명제의 역은 성립하지 않는다. 즉, 준정적 과정이 반드시 가역적인 것은 아니다. 예를 들자면, 피스톤에 마찰력이 존재한다든지, 열저수지와의 열 교환이 단열성을 가진 벽을 통해 이루어져서 열저수지의 온도와 기체계의 온도가 다른 경우가 이에 해당한다.
준정적 과정에서 계가 외부에 하는 일은 피스톤을 통해 이루어진다. 피스톤이 한 일 dW 는 피스톤이 받는 힘 F 와 피스톤의 변위 dx 를 곱한 것이다. 

시점과 종점 사이에 어떤 경로를 통해 진행하는지에 따라 계가 하는 일이 달라진다.
카르노 기관(Carnot engine)은 1824 년에 카르노가 생각해낸 이론적 모델이다. 카르노 기관은 가역적 기관이며, 열기관이 성취할 수 있는 최대치의 열효율을 갖고 있다.
| 1단계 |
상태 1 에서 시작하여 상태 2 까지 등온 팽창한다. 이때 높은 온도 TH의 열저수지로부터 열 QH를 흡수한다. |
| 2단계 |
상태 2에서 시작하여 상태 3까지 단열팽창한다. 이때 계의 온도가 감소한다. |
| 3단계 |
상태 3에서 시작하여 상태 4까지 등온 압축한다. 이때 낮은 온도 TC의 열저수지로 열 QC를 방출한다. |
| 4단계 |
상태 4에서 시작하여 상태 1까지 단열 압축한다. 이때 계의 온도가 증가한다. |
를 얻는다. 이때 카르노 기관이 흡수하는 열량을 + , 방출하는 열량을 − 로 정의하면,
의 꼴로 정리할 수 있다.
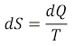
열기관의 사이클을 세밀하게 여러 단계로 나누자. 이때 각 단계는 거의 같은 온도를 유지할 만큼 세밀하게 나뉜다고 하자. 각 단계 i에서 흡수한 열량 𝜟Qi를 그 단계의 온도 Ti 로 나눈 물리량을한 사이클에 대하여 더한 것은 0 이 된다.
이 물리량을 엔트로피라고 명명하자(Clausius 1857).
가역적인 카르노 기관이 한 사이클을 수행 시, 엔트로피의 변화량은 0 이다.








댓글 없음:
댓글 쓰기
내용에 오류가 있거나 질문이 있으면 남겨주세요. (숙제 제외)