이제 현실에 조금 더 가깝게 단위 세포 내에 2 개의 원자가 위치하는 경우를 생각해보자.
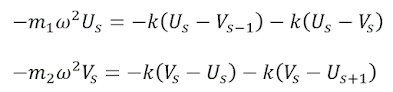
이때 뉴튼 방정식은
이때 만족하여야 할 경계 조건은

이다. Normal mode 를 구하기 위해 uS = US exp(iωt) , vS = VS exp(iωt) 라 놓자.
이제 group theory 를 적용하여 uS = U exp(iKsa) , vS = V exp(iKsa) 라 놓으면,
이를 정리하면,
따라서,
즉, 주어진 K 에 대하여 2 개의 각진동수 ω 를 얻게 된다.
이때 낮은 주파수들로 이루어진 가지를 acoustic branch, 높은 주파수 가지를 optic branch 라고 한다.
[분석1] 위의 고유치 조건을 long wavelength limit 에서 생각해보자. K = 0 을 대입하면
이때 고유 벡터들은[분석2] K = π / a 인 경우를 생각해보자. 이 경우, 이웃 단위 세포 사이에서 파형의 변화가 최대가 된다. 고유치 값은 이때
가 된다. 만일 두 원자의 질량이 같다면, 두 가지는 같은 주파수 값을 갖게 된다. 이 경우 우리가 앞 절에서 생각했던 것과 물리적으로 다를 것이 없는데, 단지 단위 세포를 2 배로 크게 잡은 것이 된다. 이럴 경우, 역격자 공간의 단위 세포가 1/2 로 줄어들면서 optic branch 가 생겨난다.
[Reminder]
우리의 계가 N 개의 단위세포로 이루어져 있다면, 주기적 경계 조건은 이를 N 개의 K 값으로 대치한다. (3차원이라면 Nx, Ny, Nz 의 곱이 N 이라는 차이 밖에 없다.)
만일 단위 세포 내에 원자 수가 1 개가 아니라 n 개라면, 각각의 K 값에 n 개의 각진동수 값이 존재하여, 결국 n 개의 branch 가 생긴다. 만일 3 차원이라면 3n 개의 branch 가 생긴다. 그 중 3 개는 acoustic branch 이고 3(n-1) 개는 optic branch 이다.







댓글 없음:
댓글 쓰기
내용에 오류가 있거나 질문이 있으면 남겨주세요. (숙제 제외)