앞절 10B 에서 고전역학적 단진자계가 갖는 문제점에 대하여 언급하였다. 이 문제는 플랑크(Planck)가 양자 가설을 도입하여 해결하였다. 이는 양자역학의 체계를 세우는데 기초가 된다.
전자기파는 수학적으로 단진자와 동일하다. 따라서 공동(cavity) 내의 흑체 복사 전자기파는 여러 개의 다른 주파수를 갖는 단진자의 집합이다. 플랑크의 양자 가설은 어떤 단진자가 외부와 에너지를 교환하는 기본 단위(즉, 알갱이 quantum)가 그 단진자의 주파수에 비례한다는 것이다. 그 비례상수를 플랑크 상수 h 라고 하였다.
이는 양자역학에서 단진자의 에너지 준위가임을 예견하는 것이었다. 이때 계에 속하는 단진자들 중에서 hν 가 열에너지 kBT 보다 훨씬 큰 단진자들은 열교환에 활발히 참여하지 않을 것이다. 따라서 이러한 단진자들은 열저수지로부터 에너지를 흡수하지 못하여 평균 에너지가 그리 크지 않은 상태에 있게 된다. 이와 반대로 hν 가 열에너지 kBT 보다 훨씬 작은 단진자들은 열저수지로부터 열에너지를 활발히 흡수하여 평균 에너지가 높은 상태가 될 것이다.
[예제] 이 단진자가 온도 T 인 열저수지와 열접촉할 때, 그 평균에너지를 구해보자.
이 경우, 분배함수는
이 된다. 이것은 무한 공비 수열의 합이므로,
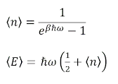
와 같이 정리할 수 있다. 여기서 < n > 은 정수인 양자수 n 의 통계역학적 평균값으로 생각할 수 있다.





댓글 없음:
댓글 쓰기
내용에 오류가 있거나 질문이 있으면 남겨주세요. (숙제 제외)